什么是熔体流动速率(MFR/MVR)?
什么是熔体流动速率(MFR/MVR)?
如何测量和获取塑料材料的流动性
由于热塑性树脂可以低成本大量生产,因此被用于各种产品,如家用电器、汽车零部件和家庭用品,使其成为我们生活中不可或缺的一部分。
热塑性树脂的加工方法有注射成型、挤出成型、吹塑成型等,但在所有成型方法中,树脂在熔融状态下的流动性是一个重要指标。
熔体流动速率被广泛用作熔融树脂流动性的指标,并由ISO、JIS进行标准化,ASTM的术语和规定与ISO和JIS略有不同,但测量原理是相同的。
一般熔体流动速率越高,流动性越好,熔体流动速率越低,流动性越差。
另外,测量同一类型的树脂时,数值越高,分子量越低,数值越低,分子量越高。
然而,由于测量基本上处于几乎静态的状态,因此测量过程中树脂中产生的剪切速率与注塑等加工过程中的剪切速率相比非常小,并且实际加工过程中的行为有时并不存在差异。相关性。因此,它主要用于材料质量控制。
1.测量原理
料筒内的树脂被恒温加热,活塞从上方施加负载,测量从安装在料筒底部的模具挤出的树脂量。
测定树脂量的方法有两种:方法A和方法B。
结果有两种表达方式: MFR(熔体质量流量)和MVR (熔体体积流量)。
一种方法测量
在一定时间切断从模具挤出的树脂,测定其质量,由下式算出每10分钟的质量[g/10分钟]。
![]()
m:切割树脂的重量 [g]
t:树脂切削时间间隔[s]
B法测量
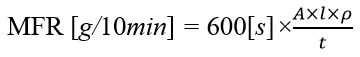
测量活塞在一定时间内移动的距离,或测量活塞移动一定距离所需的时间,并使用以下公式计算每10分钟的体积[cm 3 /10min]。
![]()
A:气缸和活塞头的标称平均横截面积[cm²]
l: 活塞行程 [cm]
t:活塞行程时间 [s]
每 10 分钟的体积 [cm³/10min] 称为 MVR。另外,如果已知测试温度下被测树脂的熔体密度,则可以使用以下公式计算 MFR。
![]()
ρ: 测试温度下被测树脂的熔体密度 [g/cm3]
对于方法B测量,试验机必须配备测量活塞行进距离的装置和测量行进时间的计时器。
2.测量程序
基本测量按以下步骤进行:
① 将活塞插入空气缸中并稳定在试验温度。
② 将待测树脂填充到量筒中,用填充杆从上方对样品进行压缩脱气。(这个过程不到1分钟)
③ 立即设定活塞并开始预热。此外,根据测试条件应用权重。
(根据树脂填充量和预热时的负载重量调整预热时间。对于熔融粘度低的树脂,可能需要防溢出机构,以防止预热期间树脂流出。)
④当活塞下降到测量开始位置时,测量开始。
⑤方法A测量时,树脂被切割并收集,方法B测量时,试验机自动测量活塞行程量或行程时间。
(根据标准和法规,可能会进行多次测量并计算平均值。)
⑥活塞下降到测量结束位置之前测量完成。
3.测量变化的来源
由于程序和测量方法的原因,熔体流动速率测量很容易出现测量误差。
例如,在填充过程中脱气时,根据操作者的不同,脱气程度和填充时间可能会存在差异。
另外,预热时间根据树脂的填充量以及预热时的负载施加方式而变化,因此,如果树脂容易受热历史影响或导热率低,则效果会更大。
因此,为了进行稳定的测量,需要根据操作人员来统一测量工作并保持测试条件恒定,包括适当的预热时间,
或者使用具有自动测量时间功能的测试机。减少数据变化的来源。
测量变化的来源
| 可变因素取决于测量者 | 树脂脱气的情况如何,填充需要多长时间,测量后设备的清洁情况等。 |
| 测量条件引起的变化因素 | 预热时间(填充树脂量、预热时如何施加负载) |
| 测量树脂引起的变化因素 | 吸湿性(根据树脂是否需要预干燥)、填料(炭黑、玻璃纤维等)、热性能(受热历史影响较大、导热系数低)等。 |
4.测量装置
No.522 熔融指数仪 G-02
这是基本的手动测量型模型。
您可以自由添加B法流量装置(测量活塞行程的旋转编码器)、举重装置、自动切割装置等选件。

No.522 熔体指数仪 G-02 ・自动负载切换(多重量)规格
除了使用单一负载进行测试外,该型号还支持在单次测试中应用多个负载的多重量测量(ASTM D1238 D 方法)。
通过使用不同剪切速率进行多个级别的测量,您可以轻松获得“剪切速率与熔体粘度”的数据。
重量内置于主体中,可自动切换,有助于测量工作的省力、高效和安全。

No.521 半自动熔融指数仪4A
该模型自动执行部分测量。
从加载重量、开始预热到测量后排出剩余样品,以及清洁量筒(用于清洁的纱布是手动设置的),
自动执行所有操作,从而实现安全、稳定的测量。
树脂填充和料筒清洁是在测量人员检查的同时进行的,因此可以测量难以用全自动机器填充的树脂,
以及由于温度而可能产生危险的高温(高达 400°C)与自动清洗的纱布阻力相对应。
PC软件(兼容实时数据输出)、自动样品切割设备、自动样品采集设备、防溢设备(适用于高流动性树脂)、
A法自动计算天平(将质量传输至试验机并自动计算MFR)等。多种选项有助于提高测量和数据管理的效率。

No.520 熔体流动速率仪 DM
该模型完全自动化样品装载、测量和清洁。
从样品装载到清洗完全自动化。有助于测量工作的节省劳力、效率和再现性。
可连续测试 10 个样品杯(40 个可选)。
紧凑、节省空间的桌面型(*高度1060mm)
多种选件可供选择(A法自动测量、电加热干燥装置、干风干燥装置、负载变换机构等)
